[Trade Journal]
Publication: Journal of the Society of Telegraph Engineers
London, England
vol. 2, no. 5, p. 180-205, col. 1
ON SOME POINTS IN CONNECTION WITH THE
INDIAN TELEGRAPHS.
By W. E. AYRTON.
This paper is not intended to be at all a complete account of the Indian Telegraph, for to enter at length into the details of this or any other Telegraphic Administration would require a book rather than a single paper. I have, therefore, only ventured to select one or two points that I thought might interest those present.
It may be stated in commencement that throughout the greater portion of India there exist two distinct lines of telegraph, one in possession of Government, the other in the hands of the various railway companies. These two sets of lines are almost entirely distinct, being under separate management, and worked by different sets of employes. The rules, however, relating to tariff and to the reception of messages, are the same for both systems, and a message may be conveyed partly over the Government and partly over the Railway lines, at a single cost to the sender. With this sole exception, the two sets of lines differ so widely that I wish it to be understood that anything I say this evening refers only to the Government, and not to the Railway Telegraphs.
The application of the laws of Electricity to the practical purposes of testing, and to the determination of the best form of instruments, and the most suitable arrangement of batteries, having been somewhat developed in India I have entered rather at length into this subject. Many other branches, however, equally important, such as the administration and discipline, the expenditure and receipts, and the construction and conservancy of the lines, I have been compelled to leave untouched. Some information on these points, however, may be given us, I hope, by a more able member of the Indian Telegraph, and by one whose much greater familiarity with this portion of the subject will aid him in doing it more justice than lies in my power.
TESTING OF LINES.
Regular testing of the lines was first introduced into India about the year 1868, and since that time the advantage of executing these tests has become more and more fully appreciated. Every important line is now tested two or three times a week in the following manner.
With a Wheatstone's Bridge, or a Differential Galvanometer, observations are made with both positive and negative currents of the resistance of the line, under the three following conditions:
1st. When put to earth through the relay at the other end.
2nd. When put direct to earth (that is, relay short-circuited).
3rd. When insulated at the distant end. From the six values thus obtained the following are calculated by equations suited to the form of testing instrument employed.
![]() |
1st. The electromotive force of the natural line current in terms of that of the testing battery, usually 40 cells.
2nd. What the apparent wire resistance (A) of the line, including the relay at the other end would be, were there no natural line current.
3rd. What the apparent wire resistance (B) of the line, excluding the relay at the other end, would be on the same supposition.
4th. What the apparent insulation resistance (C) would be also on the same supposition. The object of determining (A) at all will be seen hereafter.
If the natural line current be large, so that there is a considerable difference between the observed values obtained with the positive and negative currents, then the real values differ much from the arithmetic mean of the observed values.
The equations from which (A), (B), and (C) are calculated are determined on the supposition that the difference between the positive and negative readings is due to a natural current uniform throughout the whole line. This is, of course, frequently not the case, as when, for instance, the natural current flows towards each end of the line from about the centre, the connection between the line at that point and the earth being formed by dirt or moisture accumulated on the insulators. In such a case, however, it is extremely difficult to ascertain the distribution of the natural potential at different points of the line, and in addition the equations for determining the true means from the positive and negative readings become much more complicated, and unsuited for practical use.
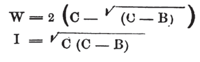
The next point to consider is, that if the line be long or badly insulated, then (A), (B), and (C) will not represent respectively the real values of the resistance of the line including the relay, of the line excluding the relay, and of the insulation, because in each case a complicated circuit has been tested, consisting partly of wire and partly of insulation resistance. In fact on such a line (A), (B), and (C) are often nearly equal to one another, (A) and (B) being less, and (C) greater than the real value. For determining (W) and (I), the real values of the resistance of the wire and of the insulators independently of one another, the following two equations are used:—
![]() |
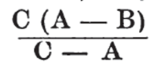
which equations are calculated on the supposition that the resultant fault is electrically at the centre of the lipe, by this I mean on the supposition that the real wire resistance of the line is the same from each end up to the point at which a single leakage could be substituted for all the different leakages without altering the electrical condition of the line. This, of course, is not always the case, when, for instance, one end of the line is worse insulated than the other. The same equations for determining from (B) and (C) the real values (W) and (I) are, however, for simplicity always used, and their accuracy in any particular case tested as follows :—If the resultant fault be really at the electrical centre of the line, and consequently (W) and (I) be the true values, then the resistance of the relay at the other end should (as can easily be shown) be given by the fraction:—
![]() |
what this resistance really is can be ascertained by enquiry, for the. resistance of every relay in use in India is stamped on the instrument. If it be found that this fraction gives a value [larger/smaller] than the true smaller resistance of the relay, than it is known (as may easily be proved by a simple calculation) that the resultant fault is [farther from/nearer to] the testing station than the distant station, and also that the equations used for determining (W) and (I) have given values somewhat [larger/smaller] that the real wire and insulation resistance. In this way the position of the resultant fault is roughly determined, from which we know the relative insulation of the two halves of the line, and in the case where the resultant fault is at about the electrical centre of the line, then the real wire resistance, and the real resistance of the insulators quite independent of one another and of all natural line currents are also found, no matter how badly the line be insulated, or how strong the natural line currents be, provided they be only constant during each pair of tests. In the case where the resultant fault is not at the electrical centre of the line, then values differing somewhat from the real wire resistance and the real resistance of the insulators are determined, but whether they are larger or smaller than the true values is also known. As an example of the importance of their consideration, I will take the following example:-- Let the line under test be 500 miles long, and let the relay at the other end be known to have 2,000 ohms resistance;
![]() |
Now if these were taken as the real values without any correction being applied, we should say that the wire resistance per mile was 3611/500 =7.26 ohms, and that the insulation per mile was 500 x 4,500, or about 2.2 megohms.
Now from the two equations (1) and (2) we have
![]() |
we know, therefore, that the resultant fault is at the centre of the line, or that the leakages in the two halves of the line are similarly distributed with reference to the centre; consequently the values of (W) and (I) given by equations (1) and (2) are correct. The real wire resistance per mile is therefore 5000/500 or 10 ohms, and the real insulation per mile 500 x 2,000 or 1 megohm. The values, therefore, obtained for these without applying the correction, are respectively 40 per cent. too small, and 54 per cent. too large.
In all cases, of course, the exact position of the resultant fault, whether it be at the electrical centre of the line or not, could be determined, and afterwards the true values of the wire and insulation resistance; the exact calculation, however, becomes exceedingly complicated, except where the resultant fault is 'at the electrical centre of the line.
It is, of course; very difficult to localise faults accurately on a line in which the normal absolute insulation is not much greater than the absolute wire resistance, since the worse insulated a line is in its usual state the more difficult it is to localise any extra leakage. Theoretically correct results can be obtained for "earth faults" by using the "centre of gravity" method. To do this, however, it is necessary to know what would be the magnitude and position of the resultant fault, if the extra fault, the position of which it is attempted to localise, did not exist. Now it is almost impossible to ascertain this in practice,. since the magnitude of the resultant fault, which is the absolute insulation of the line, varies perpetually during the day and night, even although the line be in good order, and it is almost impossible to predict accurately what it would be at any particular time. A simple correction, however, can be applied to the results obtained by the ordinary tests for earth faults and contacts, if it be remembered that the effect of the general leakage of the line is to make the fault apparently farther from the testing station than it really is if it be in the near half of the line, and nearer to the testing station than it really is if it be in the distant half of the line. Taking into account this consideration, faults are usually localised in India to within one or two per cent. of their real distances. A great deal, however, of course, depends on the individual skill of the tester.
The routine for testing is as follows. The testing station commences by calling the name of the nearest station in circuit on the particular line it wishes to test, until this station replies with its name. The testing station next signals the word "testing." The signaller at the distant instrument on receipt of this at once calls the telegraph master, who signals back his initials, and takes charge himself of the instrument until the testing is over. The testing station now signals "circuit," on which the telegraph master leaves the instrument and line alone until he hears the name of his station called by the testing station. After the word " circuit" has been signalled, the resistance of the line, including the relay at the other end, is found. Next the testing station signals " conductor x minutes," to which the telegraph master replies with the temperature (dry and wet bulb) at his office, and at once puts the line direct to earth, short circuiting the relay for the specified time. The resistance of the line excluding the relay at the other end, is then found. The testing station next signals "Insulation x minutes," to which the telegraph master replies with the state of the weather, ,and at once insulates the line for the time specified. No conversation of any kind beyond the above is allowed, unless of course the testing station asks any particular questions. By following out this routine rigidly the tests are performed with certainty and dispatch. When it is required to test a line beyond an office usually in circuit, this office receives orders "testing join a certain line x Minutes" in accordance with which that office short circuits its galvanoscope, &c., and joins over the particular line for the time specified, exactly as if that line did not come into the office at all.
In the case of faults, to determine the position of which I may mention tests are always at once made day or night, the testing station signals its orders as insulation, conductor, loop, &c., in the ordinary way, provided communication on all lines in the faulty section be not interrupted. When, however, a post, for instance, has been blown down and all the lines have tumbled into water, so that it is impossible to communicate on any line, then, at the commencement of the next hour (Madras time), three or four o'clock, or whatever it may be after the fault has occurred, the office at the end of the interrupted section insulates all lines from the hour to 15 minutes past the hour, then puts them to earth through the relay for the next 15 minutes, then puts them direct to earth for the third 15 minutes, and for the last 15 minutes of the hour loops the lines in pairs previously settled in printed instructions supplied to each office. This routine is repeated every hour until communication is restored. In this way the testing station knows at any moment exactly what is being done with the ends of the lines at the next office beyond the interruption, and so is frequently able to localise faults, although communication on all lines has been stopped.
After the fault has been localised; a telegram is sent, if possible, to the office nearest the fault, telling them where to send a man, and what sort of fault to look for. In this way, one man going from the nearest office is able to remove the cause of interruption, whereas, before the systematic introduction of testing in India, two men travelled along the line, one from each of the stations at the end of the interrupted section, until one or other found the fault, and since these men could not travel by night for fear of passing the interruption, whereas now they may start at once and travel by the most expeditious means up to the spot at which the testing shows the fault to be, interruptions are not only removed at less expense, but in addition in a much shorter time than formerly.
I may mention that where faults have occurred during the night not many miles from the testing station, and on lines whose normal insulation was good, I have on a few occasions, by localising the position of the faults very carefully, succeeded in having them removed during the night by men sent out with lanterns, so that scarcely any interruption whatever to the traffic has been caused.
All tests, ordinary and fault, are carefully worked out and tabulated at each testing station, and reports are sent weekly to the office of the Electrical Superintendent in Calcutta for re-calculation and compilation in bi-yearly reports for submission to the Director-General. In this way the electrical history of every line is carefully recorded, from which the relative qualities of the different lines are derived, so that the best lines can be portioned out for working direct the longest distances.
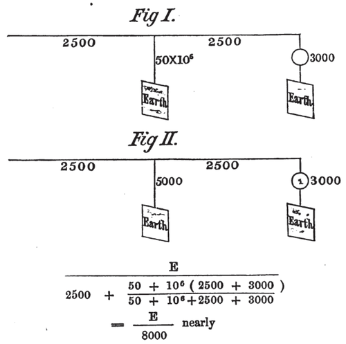
Although testing for faults is of immense utility, the regular testing, which has now been carried on for about four years, under the Electrical Superintendent, Mr. Schwendler, has produced even more valuable results. By it we have learnt two very important facts; one, that the earth plates in many offices had a high 'resistance, and were intensely polarised; the second, that the insulation resistances of sections varies enormously under precisely the same climatic influences, it being on some sections over 300 megohms a mile (the limit of the measuring power of the testing apparatus employed in the particular instances), while in other sections it is considerably less than one megohm per mile. The first evil has been remedied by using large copper earth plates with leading wires insulated from the ground; the advantage gained by insulating these latter I will consider when we come to testing earth plates. The cause of the badly insulated sections is found to have been produced by solitary insulators scattered here and there over these sections, and which are apparently quite good to the eye, but are found to possess perhaps less than the five hundred thousandth part of the resistance of the general run of insulators of the same pattern, made by the same maker, and under precisely the same conditions as regards dew, &c., and when tested in exactly the same manner. How serious is the injury done to lines by the presence of a few bad insulators will appear from the following considerations. If a line five hundred miles long be composed entirely of good insulators, each having a resistance of 500,000 megohms (rather a low resistance, as will presently be seen, if the edges of the porcelain cups be clean and dry, as of course they are during the hot dry weather in India), and if twenty insulators per mile be used, then the absolute insulation of the line will be 50 meg-ohms. Whereas, if only one per cent, of bad insulators, each having half a megohm resistance be scattered uniformly over the line, then the absolute insulation will be reduced to only about five thousand ohms. The line in the two cases will be as in figures (1 and 2) if it be composed of No. 5 1/2 wire having a resistance of 10 ohms per mile, and if a relay of 3,000 ohms resistance be used at the receiving station. Consequently the current leaving the sending station will, in the first case, if we neglect the resistance of the battery, and if E be its electromotive force, be about equal to
![]() |
In the second case, the current leaving the sending station, if the same battery be employed, will be about equal to
![]() |
therefore with the bad insulators, the current leaving the sending station will be * of what it would be if all the insulators were good. Consequently the introduction of these bad insulators will increase the consumption of battery materials by about 60 per cent. Now, let us consider the current arriving at the receiving station. Where all the insulators are good, this will be about equal to
![]() |
In fact, scarcely any of the current will be lost en route in this case. When the one per cent. of bad insulators are introduced, the current arriving at the receiving station will be about
![]() |
therefore the current arriving at the receiving station will, with the bad insulators, be about of what it would be if all the insulators were good. We may, therefore, say that in the particular instance we have been considering, the introduction of this one per cent. of bad insulators increases the consumption of battery materials by 60 per cent., and diminishes the received, or effective current, by 20 per cent.
From some thousand of Robinson insulators that I lately have been testing at Messrs. Siemens, I find that the average resistance, after one minute's electrification of a good Schomberg porcelain is about four million megohms, of a good Pinder Bourne porcelain about two million megohms, and of a good Defuisseaux porcelain about five hundred thousand megohms, the insulators in all cases being inverted in pure water with water in both porcelain cups, but with the edges of the porcelain cups dry (artificially dried with hot irons, if necessary). We might, therefore, reasonably expect that a line, composed of such insulators, should have in the hot dry weather in India a minimum insulation of at the very least a thousand megohms per mile, if the insulators be not damaged. It will be seen then, in the instance previously taken, a rather low resistance was used for the good insulators, and the harm done by the insertion of bad insulators, was not made greater than it really is. These results being fully appreciated by Colonel Robinson, have induced him to establish at Calcutta, Bombay, and Madras, regular arrangements for continuous insulator testing, and now no single insulator is used in India that has not been previously tested at one of these places, in the following way. First each finished insulator, as it arrives from Europe, is tested individually with a delicate Thomson's galvanometer to see that the resistance of the insulator, after one minute's electrification, is not below a certain standard. Next the insulators are joined together in hundreds, and the average resistance found. The importance of testing the insulators individually is only beginning to be fully appreciated.
The following plan has usually been adopted in Europe. An agreement is made between the buyer and contractor that each insulator is not to have less than a certain resistance. The insulators are only tested in hundreds, and if the hundred have more than the one hundredth part of the specified resistance per insulator, they are all passed. If, therefore, 99 of them had a resistance much above contract, and one a resistance much below contract, still the hundred might have a joint resistance much above the hundredth part of the contract resistance per insulator, and the one with low resistance would not, therefore, be detected. The buyer may answer he does not care about this, all he wants is a certain insulation per mile. Unfortunately, however, any insulator that has a resistance much below the rest will probably go on deteriorating, since the cause that originally diminished its resistance may possibly go on increasing, until the insulation per mile falls much below what is required, although it may have been considerably above when the insulators were first put up on the line.
As far as has been ascertained at present, it appears that the defects in these solitary insulators are produced by excessively minute cracks in the head of the porcelain, the part that is that fits into the iron hood, and by an accumulation in these cracks of moisture which forms a connection between the stalk and hood. These minute cracks are in many cases certainly not produced by simple mechanical injury such as insulators might receive in travelling, or when upon the line, from excessive strain caused by the wire, since a considerable percentage of some porcelain insulator cups sent out to India, and to which neither hoods or stalks had ever been fitted, were defective in the manner I have described, and had individually less than a megohm resistance.
If the solitary bad insulators be scattered at all uniformly over a line, the only way in which they can then be detected is by testing every insulator singly. Now, to carry a delicate galvanometer and a large battery from post to post for this purpose would be exceedingly inconvenient. To avoid this Mr. Schwendler has devised a powerful magneto-electric arrangement, by which a rapid succession of reverse currents sufficiently strong to be detected with the fingers is sent through an insulator if it be very bad, or strong enough to be detected with the tongue, which is a cheap and remarkably delicate galvano-scope, if the insulator be less bad, but having a resistance below a certain amount, depending, of course, upon the power of the electromagnetic machine.
One of these detectors was sent home from India last year, and exhibited in the exhibition where perhaps some of those present may have seen it.
At about every twenty miles, or so, on all lines, shackles are introduced by which the line is electrically broken, communication being in ordinary cases established by two spirals of thin wire soldered respectively to the line wire on each side of the shackles, and ending in eyes faced with platinum which are usually screwed together. By this arrangement a lineman can disconnect the line at about every twenty miles and communicate in either direction. This was particularly necessary before the introduction of scientific testing as it was by endeavouring to communicate first in one direction, and then in the opposite, that the man who had been sent out in case of interruption, knew on which side of him the fault lay, and even now when the faults are localised by testing, as their distance can only generally be found within one or two per cent., it is often of great use on a long line for the man to disconnect nearest to the spot localised, and see on which side of him the fault exists.
EARTH PLATES.
In Europe the ordinary way to make an "earth" is to use the iron gas, or water pipes, but in most places in India such pipes do not exist, so that some large piece of metal has to be buried for this purpose. A coil of iron wire, a piece of an iron post, or a copper plate have been used at different times. Now as the nature of the ground in the immediate neighbourhood of this buried piece of metal greatly affects its electrical utility, it becomes a question of great practical importance to determine in absolute units the resistance of the "earth" used in each particular case.
It might, at first sight, appear possible to obtain the resistance of the "earth" at a distant office by testing the resistances respectively of two lines put to earth at that office, and comparing the sum of the resistances so obtained with that of the loop. There are two reasons, however, why such a system would be extremely inaccurate, first, because, if even the lines were perfectly insulated, as the resistance of an "earth" is, or should be, exceedingly small compared with that of the line, the slightest possible error made in taking the circuit resistance would produce an enormous percentage of error in the calculation of the resistance of the "earth" secondly, as the insulation of most lines is generally not very good, the resistance of the loop is frequently greater than the sum of the resistances of the two lines put to earth at the distant station, so that if the fact of leakage were not considered the earth might be said to have a negative resistance.
The following method suggested by Mr. Schwendler, and fully developed in a paper I read before the Asiatic Society at Bengal, is at present in use in the Indian Telegraph Department, and has none of these objections:—
Select two other earths which are neither in metallic connection with one another, nor with the telegraph earth to be tested. Two iron telegraph posts, near the office, answer the purpose very well only care must be taken that there is perfect metallic contact between the leading wire and the iron post in each case. In the dry season it would be advisable to pour water over the three "earths" used. Measure the resistance between each set of "earths," and in this way obtain three independent equations containing the three resistances of the three "earths," and the known resistances of the three leading wires going respectively from each earth to the testing arrangement. From these three equations the required resistance can be found, and the question would be completely solved did the earth circuits behave as simple metallic circuits. This is, however, not the case, for in the first place an "earth" long used for telegraphic purposes frequently acquires a highly polarised state giving rise to a current. Secondly, if the "earths" employed are not of the same material, for instance, one an iron post, and the other a copper plate, they will form a galvanic element with the ground giving rise to a current, and lastly the testing current itself polarises the "earths." Consequently the measurement of the same set of "earths" taken successively with positive and negative currents will not agree, and they will differ from each other much if the current due to the "earths" is considerable in comparison with the testing current itself. To obtain the real means in each case it is, therefore, necessary to employ the same sort of equations as were used in the case of line testing; the formula, however, in this case being somewhat more complicated, since the resistance of the testing battery cannot now be neglected in comparison with the other resistances as is usually done in ordinary line testing.
The "earths" in many cases having been shewn by testing to have a somewhat high resistance, they are now all made as follows :—A copper plate, four or five feet square, is buried at a convenient depth, and the connection with it made by a wire insulated from the ground. The object of insulating the wire is to prevent it becoming highly polarised, as it would were the greater portion of the current to escape from its comparatively small surface, since, of course, the chemical action produced at any surface is (other things being the same) proportional to the whole current escaping divided by the area of the surface.
SIGNALLING INSTRUMENTS.
The receiving instrument employed in India is what is called a sounder, that is, a simple electro-magnet, of which the armature is held back by a spring. For each current passing through the electromagnet two distinct sounds are produced by the armature striking against two stops, which limit respectively its downward and upward motion. If the signalling current be of short duration, these two sounds follow one another in rapid succession, and the signal produced is equivalent to a dot. When the signalling current is of longer duration, the interval separating the two sounds is longer, and the signal is equivalent to a dash. The advantage of the sounder over the ordinary Morse recorder, or any other instrument read by sight, is that it is so very much more easy for the signaller to hear the instrument and write down the message, than to have perpetually to look backwards and forwards from the receiving instrument to the paper. It is just as much easier for a signaller to receive with a sounder than.. with a Morse recorder, as writing from dictation is easier than writing from a copy. The only case where Morse recording instruments are. used in India is where messages are being received from, or are en route to places outside of India, Burmah, or Ceylon. To facilitate this reading by sound, the receiving signaller gives an acknowledgement by sending a dot at the end of every word, and the sending signaller continues repeating the word until he gets this acknowledgement. This is the same plan as is adopted with the ordinary needle instrument. This, of course, prevents the necessity of asking for repetition of various words at the end of the message. There might be a little difficulty in using this plan with the Morse instruments in England, as on account of the double current system that is extensively used in this country the line is disconnected from the key by a switch while receiving. This switch is dispensed with in India, as only the copper current is used. On all circuits, long and short, Sie-men's polarised relays are employed, and this is obviously the most efficient and economical mode of working.
It is possible, of course, to produce good signals in one or other of two ways, either by using a strong signalling current, and then the relay may be dispensed with, or by using a weak current, and working the receiving instrument with a strong local current generated in the receiving office. Now on every line a certain percentage of the current leaving the sending station is lost, therefore the smaller the current leaving the sending station the less is the absolute loss, and not only this, but the percentage of current lost on any particular line increases somewhat with the current, Ohm's law not being strictly true for leakage of insulators, or, perhaps, rather the resistance to surface conduction varying with the current. Consequently, there is a double gain in using a small signalling current and working the receiving instrument with a strong local current generated in the receiving office.
The next point to consider, a point which I think has been much disregarded on long lines in other countries, is what should be the best resistance for the relay, to be used in each particular line. If a line were perfectly insulated, the best resistance of the relay would, of course, be equal to the sum of the resistances of the line wire and signalling battery at the other end, or, as the resistance of the battery is not large compared with the resistance of the line, we may say that if the line were perfectly insulated the best resistance of the relay should be equal to the resistance of the line. Mr. Schwendler, however, by taking into account the average per mileage leakage on the different lines in India, has calculated that the resistance of the relay should be about of the true wire resistance of the line, and consequently the relays for the different lines are now made in accordance with this rule. We have not, however, yet used any relays having more than about 3,600 or 4,000 ohms resistance.
Of course, in using this rule of Mr. Schwendler's, the farthest distance from which the relay will have to be worked without translation must be considered, as that will be the case in which the current will be weakest, and when it will be most important to have the best resistance for the relay.
As the plan of receiving an acknowledgment after every word sent, is, as I have already explained, used in India, the line cannot be disconnected from the receiving instrument during sending. The static charge which accumulates in a line when a current is sent, and which is always discharged at both ends of the line will, therefore, be discharged partly through the relay of the sending instrument. If the line be very long, and the static charge, therefore, considerable, this return current, as it is called, may be strong enough to work the relay, and produce a signal at the sending station. Every signal that the signaller sends is, therefore, repeated on his own instrument, and this is very likely to prevent him recognizing the acknowledgment sent by the distant station after each word, as he would confuse it with the return current. To avoid this a key was for some time used, which put the line to earth between the two positions in which it put the line to the battery and to the relay respectively. To do this effectively required that the back portion of the lever of the key should move through a considerable space, if it was to be moved easily with no greater manual force than is ordinarily used for signalling, or else that a considerable force should be employed if the handle were only to move through the ordinary space. Either of these conditions was, of course, incompatible with rapid signalling. This scheme was, therefore, abandoned, and the following more ingenious discharging arrangement adopted. The line is connected in the ordinary way with the axis of the key, the copper pole of the battery with the front stud, and one terminal of the relay with the back stud, the other terminal of the relay and the zinc pole of the battery being connected with the earth. Between the copper pole of the battery and the front stud of the key there is inserted a Siemen's polarised relay, called a discharging relay, the tongue of which is always connected with the back stud of the key. When the signalling current is sent, the tongue of this relay is moved slightly by attractioh and put in connection with the earth, in consequence of which the back stud of the key is also connected with the earth and the relay belonging to the receiving instrument is short-circuited. Now, on account of the residual magnetism in the relay of the discharging arrangement, this state of things is maintained for a short time even after the signalling current has been broken. When, therefore, the lever of the key which is attached to the line is disconnected from the front stud, and allowed to come in connection with the back stud, it finds the relay of the receiving relay short-circuited, and which remains short-circuited for a sufficient length of time for the line to discharge itself; no signal, therefore, is produced at the sending station by the return current. Before, however, the acknowledgment arrives from the distant station, the residual magnetism of the discharging relay, which lasts but, of course, for a short time, has ceased, the back stud of the key is disconnected from the earth, and the relay of the receiving instrument is fit for receiving. To increase the residual magnetism of the cores of the discharging relay, its coils are shunted. This, of course, diminishes the sensibility of this relay, but enables the momentarily induced current, generated on breaking the battery circuit in signalling, to be utilized in prolonging the effect of the signalling current on the discharging relay. The best resistance of this shunt, as Mr. Schwendler has lately determined from mathematical considerations, is equal to the resistance of the coils of the discharging relay.
When a portable receiving instrument is required, a very compact arrangement in the form of Siemen's polarised relay is employed, the tongue of which, in this particular case, is made of sufficient bulk to produce audible sounds in striking against the stops that limit its motion. A small signalling key is attached to the coils, the whole forming an instrument that can be put in the pocket, but still which can be used in signalling as far as two or three hundred miles, and which is immensely superior to any form of galvanometer, in that it can be used in the dark. I remember on a particular evening when I had no lantern with me having a lead attached to the line wire and communicating with Bombay, from which place I was many miles distant. This I should have been prevented from doing on account of the darkness, had I had to use any form of detector galvanometer.
In order to detect the presence of signalling currents that are either too weak or too strong to work the polarised relay, the general plan adopted is to insert a small galvanoscope between the line and the receiving instrument. To avoid, however, the introduction of this unnecessary resistance, the method employed in India consists in placing on the top of the relay a small light horizontal magnet balanced on a pivot, and which is deflected by very slight alterations in the magnetism of the cores of the polarised relay.
BATTERIES.
The cell in universal use in India is the Menotti or modified Daniel. It consists of a round earthenware glazed jar about five inches high, at the bottom of which is placed a disc of copper, to which is attached an insulated copper wire. Above the disc are put about eight ounces of crystals of sulphate of copper, above this sand or sawdust, and lastly at the top a zinc disc. The sand or sawdust is useful in preventing the sulphate of copper from rising to the zinc plate. The electromotive force of this cell is remarkably constant, and the resistance, when the cell is in good order, varies from 10 to 20 ohms, depending on the amount of sand or sawdust, and the tightness with which it is packed. The resistance is, of course, of little consequence when the cell is used, as it is in India, on lines, the wire resistance of which is from 1,000 to 7,000 units, or more. For local circuits these cells are also used, but joined partly in parallel circuit, that is copper to copper, &c., and partly in series, that is copper to zinc, &c.
The sounders are now all made of about 30 ohms resistance, but they have been made at different times of all resistances from 3 to 30 units. In each office the sounders are divided into sets according to their resistances. Each set of sounders is worked with a distinct locar battery arranged according to the number and resistance of the instruments forming the set, the actual arrangement in each case being determined by printed rules given to each office. These rules are calculated from the fact that a single sounder of the ordinary size, wound with wire so as to have about 30 ohms resistance gives good signals with four Menotti cells in series. Such sounders, it is clear, could each be worked with a portion of the line battery belonging to the particular instrument, so that in an office having no sounders of less than about 30 ohms resistance no local batteries need be necessary.
All batteries are tested three or four times a week for electro-motive force and internal resistance, and the results recorded in a book to be examined by the Superintendents and Assistant Superintendents on their periodic visits. All new cells are also similarly tested before being joined up in any battery. The instrument used for this battery testing is a peculiar kind of tangent galvanometer, designed by Mr. Schwendler. This galvanometer is wound with a thick and a thin coil, and has attached to it two other coils of wire of suitable resistances, which can at pleasure be put in circuit or not with the two galvanometer coils respectively. By this instrument the internal resistance of a battery can at once be found in Siemens' or B. A. units, and the electro-motive force in terms of a standard cell. It possesses also the following advantages:—
(1) Considerable sensibility, owing to the magnet being light and well balanced, (2) that it is compact and very portable, (3) that it can be used as a receiving instrument for strong or weak currents. A detailed account of this instrument may be found in a paper that I read before the Asiatic Society of Bengal, and reprinted in the Engineer.
The number of cells to be used in the line batteries of the different circuits is obtainable from the following rule :—
![]() |
which with the average insulation of the lines in India has been found from experience to allow a considerable margin above the minimum number of cells necessary to produce good signals. Of course, in using this rule, the farthest distance the battery has to work direct must be considered. In addition to this, information is also given to each office of the lengths and gauges of the various sections of all the lines in the division of India in which that office is situated; so that every telegraph master is in a position to decide what number of cells he should use in the dry and in the wet weather, respectively, for each line.
When a very portable battery is required, as for instance, when a man proceeds out on interruption duty, the following arrangement, originally devised by Captain Mallock, is employed: an oblong wooden box about a foot long, three inches wide, and three inches deep, is subdivided into cells by divisions which themselves consist each of a zinc and copper plate soldered together. The cells are filled with sand moistened with dilute sal-ammoniac. This battery is of course not particularly constant, but is handy and portable.
Every office is supplied with a Swiss commutator, consisting, as most present know, of a series of vertical and horizontal metal bars, all insulated from one another, any one of the vertical bars being able to be connected with any one of the horizontal bars with a screw plug. By this arrangement any line can at once be connected with any instrument, or direct to any other line, or to earth, or to the Wheatstone bridge, or differential galvanometer, if the office be a testing station. The metal bars should be fixed on an ebonite, and not a wood backing, as is sometimes done, as the wood warps and then the holes in the vertical bars do not coincide with those in the horizontal. At every office also there is a Siemen's plate lightning discharger of the proper size for the maximum number of lines to come into the office. By a late universal order the lightning discharger at every office is placed between the line and the commutator, and not as formerly between the commutator and the instrument. This ensures two important results: 1st, that the commutator is preserved from atmospheric discharge; 2nd, any leakage in the lightning discharger, caused by dirt or otherwise, will be discovered from the ordinary insulation tests of the lines which are made from commutator to commutator.
DISCUSSION ON THE PAPER.
The CHAIRMAN having invited discussion,
Mr. W. H. PREECE asked what was the normal state of insulation in India in dry weather and in wet weather.
Mr. AYRTON replied in dry weather it varied from 5 millions a mile to over 30C millions ; in wet weather it was as low as half a million a mile. He should say the average was 2 to 3 millions in wet weather, and, perhaps, 40 millions in dry.
Mr. PREECE asked what instrument was used in India for making the daily and periodical tests.
Mr. AYRTON replied the Wheatstone bridge was usually used: in some cases the differential galvanometer. The latter was being superseded.
Mr. PREECE asked what galvanometer was used.
Mr. AYRTON: The static reflecting galvanometer.
Mr. PREECE: Are the tests made daily or periodically?
Mr. AYRTON: In the large offices daily, in those not large perhaps three times a week.
Mr. PREECE: At any particular hour?
Mr. AYRTON: They are usually made early in the morning-6 or 7 o'clock—generally before 9 o'clock, except on Sundays, and then during every portion of the day, as messages are not taken.
Mr. PREECE: What is the length of time of testing?
Mr. AYRTON: The actual testing perhaps 10 to 15 minutes. Of course the calculations take much longer.
Mr. PREECE said he had asked these questions, because, in practice, the system adopted in India for testing lines of telegraphs did nut differ materially from that which was adopted in England, .but the conditions in the two countries were totally different. Here we were compelled to confine our tests to certain hours and to make them as rapidly as possible. The rule was to test all important lines at 7.30, or 8 a.m., and it was confined to 10 minutes or a quarter of an hour. The result was, that in large offices with 30 or 40 wires, they had to test them all in 15 minutes ; and, of course, where they were so confined to time they were compelled to adopt measures far less accurate than those described by Mr. Ayrton. The system of testing lines daily was simply a rough test of their condition. If. by that means a wire was found faulty, a more accurate test must be made to localise the fault. In order to obtain those accurate data which were essential to the electrician to know the condition of his line, periodical tests were taken, sometimes once a week, sometimes once a fortnight, and in dry weather once a month. They then went through all the details mentioned by Mr. Ayrton, and they endeavoured, to the best of their ability and knowledge, to eliminate the evils arising from earth currents and other matters. In England the effects of earth currents were not so severe as in India. It was sufficient here to take the mean of positive and negative observation, or where taken with the differential galvanometer, making the deflection of the earth current zero. That gave within 1 or 2 per cent., the necessary accurate observation.
The great point, in the system of daily tests, which they endeavoured to arrive at was, to obtain the earliest information of the condition of the lines, so that wires which failed during the night could be put into order before business commenced. If a wire be broken. down between the hours of 10 a.m. and 12 noon, when. that wire ought to be full of messages, of course, it acted in a very detrimental manner to the business, so that every effort was made to remove the fault before the heavy hours of business commenced, and the principal object of making the test was not so much to give a knowledge of the electrical condition of the line, as to localise faults, and to be able to give instructions to the men to proceed to their repair. There was one other question with reference to earth plates. Mr. Ayrton had told them very accurate methods were used to test earth plates, to find out what resistance they gave but he omitted the essential information, viz: the nature of the earth plates experience showed was necessary in India. In England they used the gas and water pipes where it was possible to do so : but what did they use in India? Mr. AYRTON: A copper plate 4 or 5 feet square with wire insulated in the ground.
Mr. PREECE: What resistance do you find that gives?
Mr. AYRTON: It varies considerably with the soil from less than one unit to 30 units. One plate buried vertically 10 or 12 feet deep, was taken up and buried horizontally about a foot below the surface, and the resistance was reduced to 5 or 6 as compared with 30 at the greater depth below the surface. He should say on the whole the resistance was 2 or 3 units when kept moist. To keep the plate moist an ordinary telegraph pole was sunk beside the earth plate and water was poured down a tube close to the earth plate.
Mr. PREECE was pleased to find the system of sounders was being introduced into India, inasmuch as on one or two occasions he had advocated before the Society the use of sound reading. That system had been introduced almost entirely in America, and was becoming largely used in India. We are also using it to some extent in England, and he was quite sure that it was the instrument of the future, and that before long we should benefit by the experience of India and America and adopt it to a large extent in this country.
There was one portion of Mr. Ayrton's paper which he beard with great pleasure, that was, that in India they had introduced the method of working with double currents. For a long time England was unique in working with double currents. We had done it since 1854, and it had been greatly extended of late years, and he was satisfied when other countries found the benefit of it they would adopt it likewise. There was only one objection he knew of to the use of double currents, and that was the necessity of using a switch to turn the speaking instrument on to the line and off. He had never found any objection to that in practice, and the objection existed more in imagination than in fact. There was, indeed, no objection to its use while there were on the other hand great advantages in the double current system. One great advantage was, that however long the circuit which they worked with one current was, they could work a circuit twice as long with double currents, for this reason, that in the double current working we eliminate the antagonistic forces in the relay and the working current had simply to move the tongue of the relay and nothing else. Another advantage was, that in instruments worked with single currents they had constant antagonistic forces working against variable moving forces with the double system both forces varied equally, the practical result being that long lines in England, which are easily worked with double currents, could not be worked advantageously or even at all with single currents. He was sure when the double current system was tried more the advantages would be found so great that for all long lines it would be generally adopted. We had in England adopted a method of apportioning given resistances to our relays, and the practice was to make the resistance of the relays bear a definite ratio to the general average length of the circuits. We could not make the instruments agree with every circuit, because the circuits were so numerous and varied so much. He considered the Society was very much indebted to Mr. Ayrton for his excellent paper, and he was sure the members would peruse it with great satisfaction when they received it in the Journal of their proceedings.
Mr. AYRTON in reply to the observations of Mr. Preece, said that gentleman had stated that the system of testing in this country was almost the same as that adopted in India, except in so far as it differed on account of the different conditions. One condition was not very different on the long lines of India and the long lines in England. He did not know what was done in testing now; but two or three years ago no attempt was made to separate the real resistance of the wire from the real resistance of the insulators. Mr. Varley mentioned to him a line which he tested in which the line insulators at the end had not so much apparent resistance as the wires had ; so that the result he obtained from the insulators did not tell what was the resistance of the wires and the insulators respectively. The result of this was, no attempt was made to separate the wire resistance from the insulator resistance, because it was known that a line was not uniformly insulated, and also that there was a good deal of leakage from the wires in tunnels. As he had said, where a line was not equally erected it was difficult to separate line resistance from wire resistance. There was no easy method of doing it but by calculating the resistance of the relay, and then seeing whether it was greater than, or equal to, the real resistance of the relay. When a line was uniformly insulated—and by that he did not mean every mile the same insulation—the leakage on each side of the centre was the same; and when that was the case, the resultant fault would be near the centre. The equation he gave showed that. The simple equation would give accurate results, differing very much from apparent tests. He did not know whether the test of the line, including the relay at the other end, was generally taken. It was sufficient, perhaps, to find where the resultant fault was, and whether the equations gave a value too high or too low. Equations were not used to separate the wire resistance from the insulator resistance. Mr. Preece mentioned that the object of testing the lines early in the morning was not so much to give an electrician a knowledge of the normal qualities of the line, as to test the faults. If a fault in India was sufficiently' bad to interfere with work, it was tested for at once, whether during day or night. Every fault was tested for, if the signaller said his signals were so weak that he could not receive them, within an hour of the discovery being made. A person qualified to test resided near the office if it was a testing office. The tests of the morning were made, not to find out faults, but to ascertain the normal state of the line, which was a most important consideration, because certain lines were usually better insulated than others, and the good portions were joined up together for long services, and the bad were used for local work.
With reference to the double current system, there was the disadvantage of using a negative current; for if the line had points of leakage the current was diminished. If the leakage was distributed over the line the current would not be materially diminished by the negative current, which was due to chemictl action, which cleaned the wire by putting hydrogen at the leakage point. Though the whole current escaping was low at one point the chemical action at that point was inconsiderable, but if it escaped at one or two points the chemical action was considerable, and the leakage would be considerable; but where the leakage was at only one or two points they did not use a negative current. With a cable there was reason to use negative and not positive current, because positive current tends to eat through the copper wire, and could be worked with a bad insulation so long as the copper was entire. The only thing was interruption in the wire. In a cable it was better to use negative current to signal with than positive, if there was a fault, because the positive, though it increased the insulation and did good, would eat through the copper wire, and in time destroy insulation. But in land lines the great point was insulation; therefore it was better to have good insulation, and not to use negative current, if there was no occasion, on any land line on which the leakage was at a few points. Another disadvantage of positive and negative current was it necessitated the use of a switch, and if that was used the acknowledgment would not be given at the end of each word. It greatly interfered with work to have to use the switch, and he thought they ought not to abolish the plan of giving an acknowledgment after every word: otherwise there was no power to stop the sender, and a great part of a message might be sent without being received. The next point was, what was the object of using double currents? Mr. Preece said they could work twice as far with double current as with single. They could work almost as far as they wanted with single current. They could work 1,000 miles with single if the line was in respectable order; therefore there was scarcely any necessity to use double currents. Then again, Mr. Preece said the relays were made according to general average. That was not the point he (Mr. Ayrton) drew attention to, but that they were made for the particular line. Of course, the lines did not vary so much here as in India. They had lines of 10 miles and lines of 1,000 miles, so that a relay for 10 miles would not do for that for 1,000 miles. The relays varied from 200 units to nearly 4,000 units-200 units for lines from 20 to 80 miles long, and 4,000 units for circuits of 900 or a 1,000 miles; and even that relay was not according to the rule he gave, viz., of 5/8 ths of the resistance of the line, &c. Therefore the resistance of the line should be 10,000 units, which was much greater than 4,000; but to make relays of 5/8 ths would be expensive, They had two sizes of relays in India: a small size being used for the short lines and a much larger size for the longer lines.
The CHAIRMAN, in closing the discussion, said it was impossible to have listened to this paper without contrasting the state of the Telegraph in India at the present day with what it was 10 or 20 years ago. He remembered when it was first taken up by Sir Wm. O'Shaughnessey. He believed he was quite alone in creating it. He had heard of telegraphs in England, but had no means of knowing what was done, and he was left entirely to his own knowledge. He believed at that time the Telegraph in India was the roughest thing possible. Since then the system had gradually grown up, knowledge had increased, and more recently Colonel Robinson came to this country to study our system he saw the great advantages which were derived from the use of scientific methods in this country, and resolved to introduce them into India, and with what results they had heard this evening. He believed at the present time, the Indian Telegraphs were amongst the most scientifically worked telegraphs in the world, and it had been to him very interesting to hear a description of the system adopted in that country. There were many questions of practical interest he would have liked to have asked, but at that late hour he would not do so. He thought much credit was due to Col. Robinson, for the extraordinary improvements he had introduced into the Indian Telegraphs, and that they deserved to be publicly and very warmly acknowledged.
The vote of thanks to Mr. Ayrton having been passed unanimously the meeting adjourned.









